Home » Uncategories » Prüfungsfragen Fischereischein Brandenburg
Prüfungsfragen Fischereischein Brandenburg
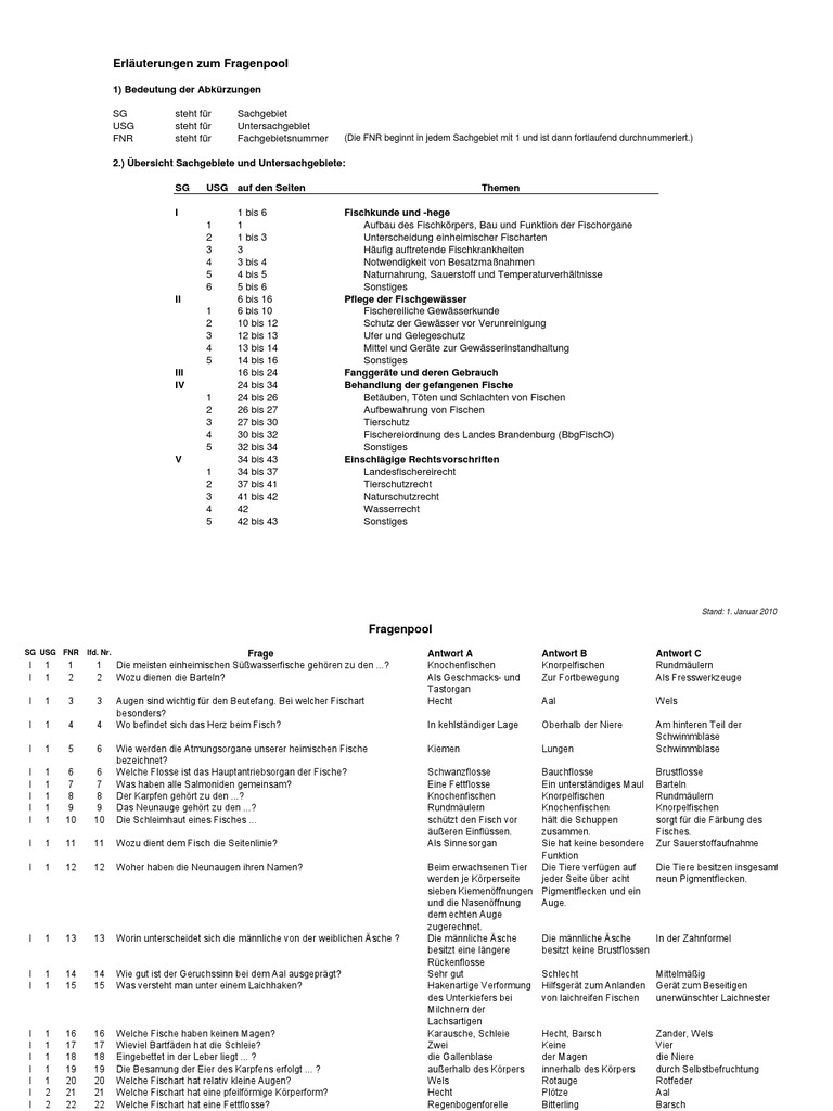
Prüfungsfragen Fischereischein Brandenburg. Alle 60 prüfungsfragen zum fischereischein brandenburg auf einen blick. Das interesse für diese sinnvolle freizeit und.
Angelschein Online Machen Alle Infos Kosten Anleitung Tipps Tricks from ichgehangeln.de Fast 92 prozent schaffen die fischerprüfung prüfungsfragen im ersten anlauf. Dabei ist die prüfung, um den begehrten angelschein beantragen zu können, relativ einfach. Dort sind alle prüfungsfragen enthalten und kostet glaube ich 5,99 €.
Das land brandenburg ist reich an fischreichen bächen, flüssen und seen.
(ljvb) übertragen worden (beleihung) und untersteht. (ljvb) übertragen worden (beleihung) und untersteht. Hallo und herzlich willkommen zum angelschein brandenburg! Man braucht eben nur eine fischereiabgabemarke und die dazu gehörende angelberechtigung.
0 Response to "Prüfungsfragen Fischereischein Brandenburg"
0 Response to "Prüfungsfragen Fischereischein Brandenburg"
Kommentar veröffentlichen